TouchAnything

The First Dataset and Framework for Bimanual Tactile Estimation from Egocentric Video

Jianyi Zhou1, Ziteng Gao1, Feiyang Hong1, Zirui Liu1, Guannan Zhang1, Weisheng Dai1,
Ruichen Zhen2, Chuqiao Lyu3, Haotian Wu2, Yinian Mao2, Xushi Wang1, Yuxiang Jiang1,
Wenbo Ding3, Shuo Yang1✉

1Harbin Institute of Technology, Shenzhen    2Meituan Academy of Robotics
3Tsinghua Shenzhen International Graduate School, Tsinghua University
Corresponding author: shuoyang@hit.edu.cn

Overview

EgoTouch is the first large-scale multi-view tactile dataset for egocentric hand-object interaction, featuring 208 diverse manipulation tasks across 1,891 episodes in both indoor and outdoor environments. The dataset provides synchronized multi-view video (egocentric + dual wrist cameras), bimanual 3D hand pose (42 joints), and dense continuous pressure maps from wearable tactile sensors. By combining global scene context with wrist-level observations of hand-object contact, TouchAnything enables comprehensive modeling of tactile feedback under realistic occlusion and viewpoint variation.

TouchAnything Overview

Abstract

Egocentric human video data, which captures rich human-environment interactions and can be collected at scale, has become a key driver of embodied intelligence research. However, existing egocentric datasets typically lack tactile sensing, a critical modality that provides direct cues about contact, force, and pressure in human-object interaction. Without such signals, models struggle to learn physically grounded representations of real-world interaction dynamics. While tactile sensors provide these cues, deploying high-quality tactile hardware at scale remains expensive and cumbersome. This raises a central question: can tactile feedback be inferred directly from visual observations, enabling scalable tactile supervision for egocentric video data and supporting physically grounded embodied learning? To enable research in this direction, we introduce EgoTouch, a large-scale multi-view egocentric dataset with dense tactile supervision for bimanual hand-object interaction. EgoTouch comprises 208 manipulation tasks spanning 1,891 episodes in diverse indoor and outdoor environments, with synchronized multi-view RGB (head-mounted egocentric and dual wrist-mounted cameras), bimanual 3D hand pose, and continuous pressure maps from wearable tactile sensors. Building on EgoTouch, we introduce TouchAnything, a baseline multi-view vision-to-touch prediction framework that uses the egocentric view as the primary input and flexibly leverages available wrist-mounted views at inference time. Experiments show that incorporating wrist-mounted views generally improves tactile prediction over egocentric-only input, achieving up to 5.0% relative improvement in Contact IoU and 6.1% relative improvement in Volumetric IoU. We will publicly release the dataset, code, and benchmark.

Key Features

Multi-View Capture

First dataset combining multi-view synchronized video (egocentric + dual wrist cameras) with real tactile pressure data

Dense Tactile Sensing

Real continuous pressure distributions from wearable sensors, capturing fine-grained contact dynamics

Bimanual Interaction

Bimanual manipulation with 42-joint 3D hand pose annotations, enabling analysis of coordinated hand-object interaction

Synchronized Modalities

Precise frame-level synchronization across video, pose, and pressure, enabling accurate temporal modeling of contact events

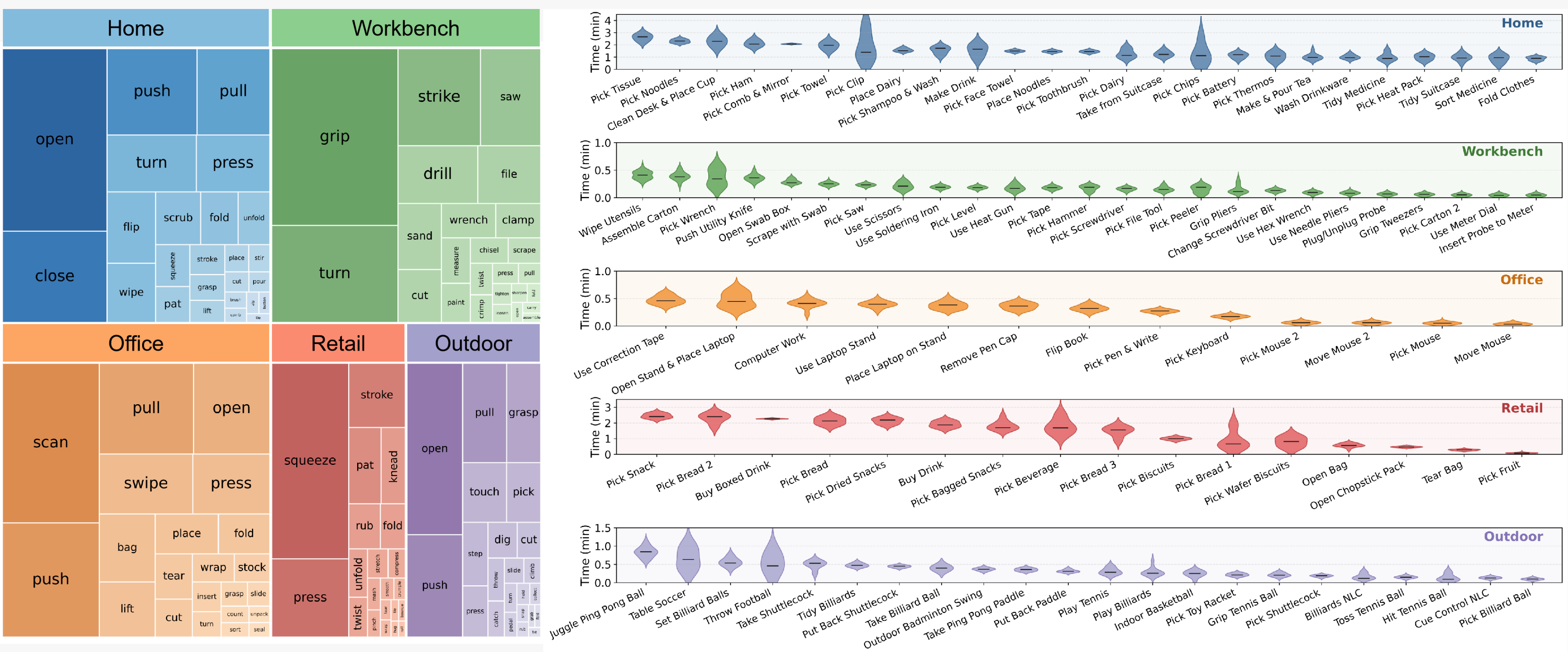
Dataset Statistics

208 Manipulation Tasks
1.9K Episodes
3 Camera Views
42 Hand Joints

Dataset Comparison

EgoTouch is the first dataset to jointly provide multi-view video, bimanual hand pose, and real dense pressure data across diverse scenes.

Dataset In-the-wild Hand Pose Contact Wrist Views Hands Objects Frames
GRAB MoCap Analytical Biman. 51 1.6M
ContactDB Thermal Biman. 50 375k
ARCTIC MoCap Analytical Biman. 11 2.1M
OakInk MoCap Analytical Single 100 230k
DexYCB Est. Single 20 582k
ActionSense Glove Pressure Biman. 21 521k
HOI4D Est. Single 800 2.4M
EgoPressure Est. Pressure Single 31 4.3M
EgoDex Est. Analytical Biman. 500 90M
OpenTouch Glove Pressure Single 800 ~500k
EgoTouch (Ours) Glove + Est. Pressure Biman. 1000 2M

Main Contributions

Data Collection Setup

Data Collection Setup

Multi-sensor data collection system with head-mounted egocentric camera, dual wrist cameras, and pressure-sensing gloves.

Our data collection system integrates:

Example Multi-Modal Data

Example Data

Example showing synchronized multi-view video, hand pose, and pressure maps revealing contact information invisible to vision alone.

Dataset Analysis

Dataset Statistics

Comprehensive statistics showing diverse pressure patterns, balanced task coverage, and rich contact interactions.

Method Architecture

Model Architecture

Multi-view tactile prediction architecture with shared vision encoding, cross-view attention, and pose-aware fusion.

We propose a multi-view tactile prediction model based on:

This design allows the model to work with any subset of available views at inference time, from ego-only to full multi-view, making it practical for real-world deployment.

Model Inference Results

Real-world tactile prediction results on diverse manipulation tasks. Our model accurately predicts contact regions and pressure distributions from multi-view video input.

Grasping Thermos

Multi-view tactile prediction during bimanual thermos manipulation

Handling Hair Dryer

Contact prediction on complex-shaped household appliances

Grasping Beverage

Accurate pressure estimation during bottle manipulation

Picking Up Mouse

Precise contact localization on small objects

Bouncing Ping-Pong Ball

Temporal contact prediction during dynamic interaction

USB Insertion

Fine manipulation with dynamic contact changes

These results demonstrate our model's ability to predict realistic tactile feedback across diverse manipulation scenarios, from static grasping to dynamic interactions.

Data Scaling Analysis

Data Scaling

Performance improves consistently with more training data, demonstrating the model's ability to leverage large-scale datasets.

Qualitative Results

Qualitative Results

Tactile prediction results showing accurate contact region and pressure intensity prediction across diverse manipulation tasks.

Applications

Core Applications

Robotic Manipulation

See contact. Predict force. Enable reliable manipulation under occlusion.

Interaction Understanding

Move beyond vision. Understand contact dynamics, grasp quality, and manipulation skills.

Broader Impact

AR/VR Haptics

Bring touch into virtual worlds through vision-driven haptic feedback.

Assistive Prosthetics

Support vision-based sensory feedback for more intuitive prosthetic control.

Citation

If you find this project useful, please cite:

@misc{zhou2026touchanythingdatasetframeworkbimanual,
      title={TouchAnything: A Dataset and Framework for Bimanual Tactile Estimation from Egocentric Video}, 
      author={Jianyi Zhou and Ziteng Gao and Feiyang Hong and Zirui Liu and Guannan Zhang and Weisheng Dai and Ruichen Zhen and Chuqiao Lyu and Haotian Wu and Yinian Mao and Xushi Wang and Yuxiang Jiang and Wenbo Ding and Shuo Yang},
      year={2026},
      eprint={2605.13083},
      archivePrefix={arXiv},
      primaryClass={cs.RO},
      url={https://arxiv.org/abs/2605.13083}, 
}

Author Contributions

This work represents a collaborative effort across multiple domains, from hardware setup to model development and data collection.

Jianyi Zhou

  • Paper writing and manuscript preparation
  • Model architecture design and training
  • Project website development
  • Data collection participation

Ziteng Gao

  • Data collection pipeline development
  • Paper figure creation (partial)
  • Experimental equipment management
  • Data collection participation

Feiyang Hong

  • Codebase organization and documentation
  • Paper figure optimization
  • Data collection participation

Zirui Liu

  • Paper figure design and illustration
  • Data collection participation

Guannan Zhang

  • Project website video editing
  • Data collection participation

Weisheng Dai

  • Experimental equipment management
  • Data collection participation

Ruichen Zhen

  • Equipment procurement and acquisition
  • Data collection hardware configuration

Chuqiao Lyu

  • Data collection system setup and deployment

Haotian Wu

  • Data collection hardware setup support

Yinian Mao

  • High-level guidance and project support

Xushi Wang

  • HaMeR inference framework development
  • Data collection participation

Yuxiang Jiang

  • Data collection participation

Wenbo Ding

  • High-level idea discussions

Shuo Yang (Corresponding Author)

  • Research ideation and project conceptualization
  • Overall project supervision and research direction
  • Model design and architecture consultation
  • Technical guidance on system development and methodology
  • Strategic planning of research scope and objectives
  • Manuscript revision and high-level feedback